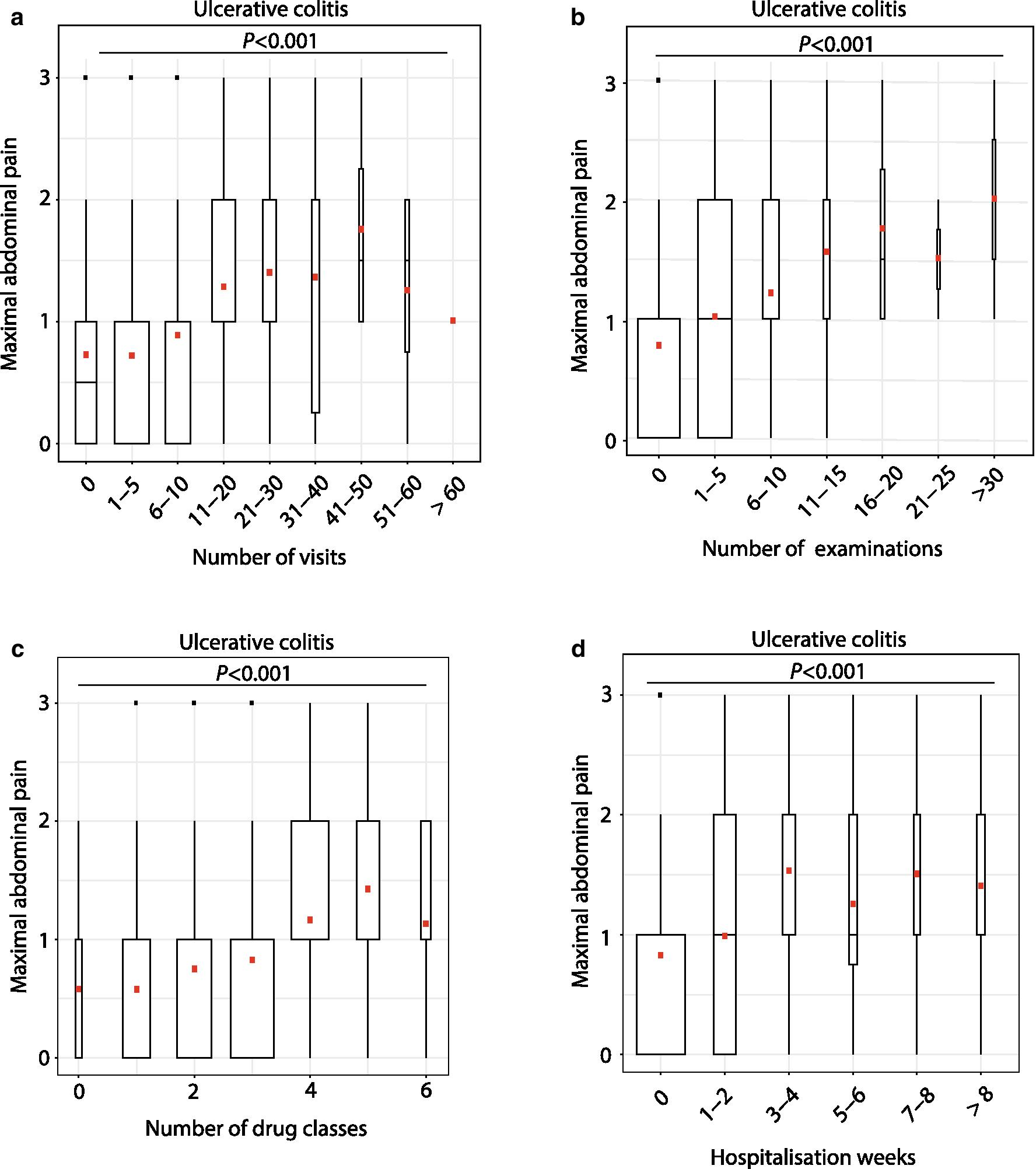
Fig. 2

Effect of abdominal pain on disease management in patients with UC. Impact of pain on a number of visits, b number of examinations (ultrasound, endoscopy, X-ray, MRI, CT-scan), c cumulative number of drug classes prescribed and d number of weeks spent in hospital. Statistical analysis: univariate linear regression analysis